Tencent представила линейку моделей машинного перевода Hunyuan версии 1.5, в которую входят HY-MT1.5-7B и HY-MT1.5-1.8B. Эти модели ориентированы на высококачественный многоязычный перевод и рассчитаны как на серверные, так и на периферийные сценарии. Особый интерес представляет HY-MT1.5-1.8B — компактная модель с 1,8 миллиардами параметров, которая при своих экстремально компактных размерах демонстрирует производительность, сопоставимую с более крупными решениями.
Подробнее о HY-MT1.5-1.8B
HY-MT1.5-1.8B содержит 1,8 млрд параметров и поддерживает перевод на 33 языках, включая русский язык. Несмотря на то, что по размеру она составляет менее трети от старшей модели HY-MT1.5-7B, качество перевода у нее находится на сопоставимом уровне. Это достигается за счет оптимизированной архитектуры и фокуса на практических сценариях использования. Ключевым преимуществом HY-MT1.5-1.8B является возможность эффективного квантования — уже доступны 3 квантованных версий, включая FP8, GPTQ-Int4 и GGUF. В квантованном виде модель может разворачиваться на периферийных устройствах без мощных вычислительных компонентов и использоваться для перевода в реальном времени, что делает ее подходящей для встраиваемых систем, мобильных решений и локальных сервисов без зависимости от облака. По заявлениям разработчиков, по соотношению размера и качества перевода модель превосходит большинство коммерческих API в своем классе. Обе модели серии HY-MT1.5, включая 1.8B и 7B, поддерживают продвинутые функции, такие как терминологическое вмешательство, контекстный перевод и перевод с сохранением форматирования. Старшая модель HY-MT1.5-7B дополнительно оптимизирована для сценариев с пояснительным переводом и смешанными языками и является развитием чемпионской модели WMT25.
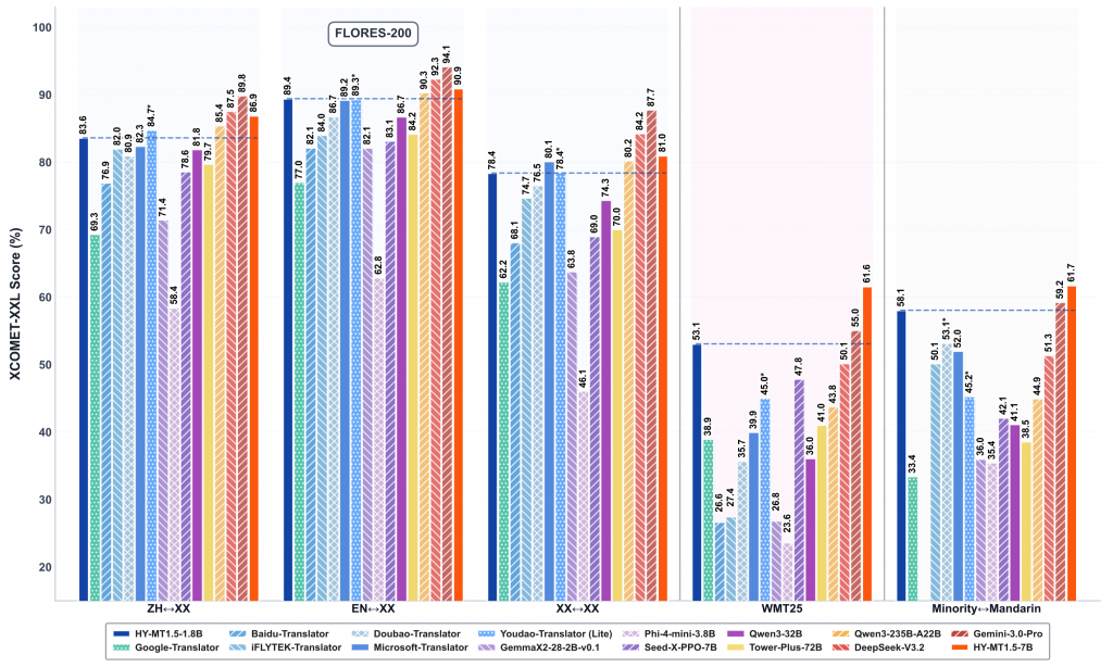
Результаты тестирования ИИ-моделей HY-MT1.5. Источник: .
Выводы
HY-MT1.5-1.8B — это идеальное end-to-end решение для машинного перевода, локальное развертывание которого может позволить себе любой бизнес, в том числе и компании из РФ за счет качественной поддержки русского языка. От корпоративных систем до периферийных устройств, HY-MT1.5-1.8B подойдет для любого, даже самого слабого железа, демонстрируя, что современные MT-модели могут быть эффективными без значительного увеличения вычислительных требований. Веса моделей HY-MT1.5-1.8B и HY-MT1.5-7B уже доступны для скачивания на платформе .
Сейчас тут ничего нет. Ваш комментарий может стать первым.
Скидка 1 500 ₽ или бесплатная доставка - уже сейчас 🔥
Мы ценим обратную связь от клиентов. При оформлении заказа вы можете сообщить о своём намерении поделиться впечатлением о работе ServerFlow после получения товара.
* - скидка предоставляется при покупке от 30 000 рублей, в ином случае предусмотрена бесплатная доставка до ПВЗ СДЭК.
Продолжная использовать наш сайт, вы даете согласие на использование файлов Cookie, пользовательских данных (IP-адрес, вид операционной системы, тип браузера, сведения о местоположении, источник, откуда пришел на сайт пользователь, с какого сайта или по какой рекламе, какие страницы
открывает и на какие страницы нажимает пользователь) в целях функционирования сайта, проведения статистических исследований и обзоров. Если вы не хотите, чтобы ваши данные обрабатывались, покиньте сайт.
При оформлении заказа в ServerFlow вы можете сообщить о намерении оставить отзыв о нашей работе после получения товара.
Нам важно ваше честное мнение. Оно помогает развивать сервис и даёт другим клиентам представление о нашей работе.
Вы можете оставить отзыв на удобной для вас платформе:
Google Maps
2GIS
Яндекс Карты
Как работает акция
Применяя промокод, вы подтверждаете намерение поделиться впечатлением о работе ServerFlow после получения заказа. Мы применяем бонус уже к текущему заказу в знак благодарности за обратную связь.
Условия акции:
скидка 1 500 ₽ при заказе от 30 000 ₽
или бесплатная доставка* при заказе до 30 000 ₽
* Бесплатная доставка заказа осуществляется до ПВЗ СДЭК.