Команда Alibaba представила долгожданную открытую ИИ-модель Qwen3.5-397B-A17B — фундаментальное обновление линейки нейросетей Qwen, объединяющее прорывные достижения в области мультимодальных возможностей, архитектурной эффективности, масштабируемого RL-обучения и беспрецедентной производительности. Модель Qwen3.5 на MoE-архитектуре имеет 397 общих миллиардов параметров и 17 миллиардов активных параметров, поддерживает 201 языков (включая русский), распознает текст, изображения, видео и предлагает огромное количество новых возможностей, что выводит ее на лидерские позиции как в сегменте открытых, так и проприетарных ИИ-моделей.
Подробнее о Qwen3.5
Qwen3.5 базируется принципиально новой унифицированной VLM-системе, где слияние мультимодальных токенов происходит непосредственно в процессе обучения нейросети, что снижает разрыв между эффективностью в языковой и визуальной производительности. Это обеспечивает паритет поколенческих способностей с текстовой моделью Qwen3 и одновременно превосходит специализированную Qwen3-VL по показателям логического мышления, кодирования, агентных сценариев и визуального восприятия. Модель не просто обрабатывает изображения — она интегрирует их в общую когнитивную архитектуру, что критически важно для сложных задач, требующих одновременного анализа текстовой и визуальной информации. Qwen3.5 также обучается в средах с миллионами агентов и постоянно усложняющимся распределением задач, что обеспечивает большую эффективность в реальных сценариях использования. Инфраструктура Alibaba для ИИ-обучения нового поколения достигла почти 100% эффективности мультимодального обучения по сравнению с обучением только на текстовых данных, а асинхронные фреймворки для RL поддерживают крупномасштабные агентные каркасы и оркестрацию сред.
Основой Qwen3.5-397B-A17B стала гибридная архитектура, сочетающая управляемые дельта-сети с разреженной моделью MoE. В каждом из 60 слоев модели чередуются блоки Gated DeltaNet и Gated Attention, причем на каждые три блока внимания приходится один блок MoE с 512 экспертами, из которых активируются 10 маршрутных и один общий эксперт. Такая структура обеспечивает высокую пропускную способность логического вывода при минимальной задержке и стоимости инференса, что особенно важно для задач реального времени. Контекстное окно по умолчанию составляет 262 144 токена с возможностью расширения до 1 010 000 токенов, что позволяет обрабатывать объемные документы, длительные диалоги и целые кодовые базы без потери точности.
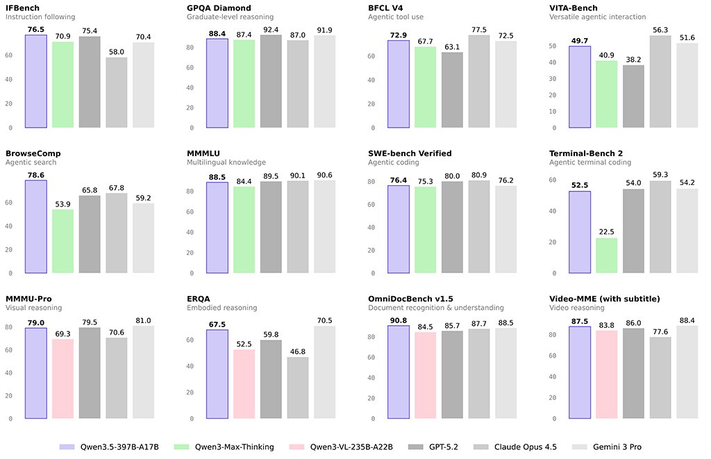
В текстовых бенчмарках Qwen3.5-397B-A17B демонстрирует впечатляющие результаты, сопоставимые с лучшими проприетарными моделями. В задачах следования инструкциям модель показывает 67,6% в MultiChallenge, превосходя GPT-5.2 и Claude 4.5 Opus. В логических тестах она достигает 100% в HMMT Nov 25 и 99,4% в HMMT Feb 25, а в AIME26 — 91,3%, что ставит ее в один ряд с ведущими размышляющими моделями. Высочайшая эффективность распространяется и на агентные способности: 72,9% в BFCL-V4, 86,7% в TAU2-Bench и 34,3% в DeepPlanning — сложном тесте на многошаговое планирование. В поисковых сценариях с инструментами Qwen3.5 достигает 78,6% в BrowseComp (с управлением контекстом) и 74,0% в WideSearch, подтверждая способность эффективно ориентироваться в информационном пространстве.
В математических задачах с визуальным контекстом модель демонстрирует 90,3% в Mathvista и 88,6% в MathVision, превосходя специализированные решения. В распознавании документов и текста Qwen3.5 лидирует с 93,1% в OCRBench и 90,8% в OmniDocBench1.5. Пространственный интеллект выведен на принципиально новый уровень: 97,2% в CountBench, 92,3% в RefCOCO, 84,5% в EmbSpatialBench и впечатляющие 95,8% в тесте V*, что демонстрирует способность точно локализовать объекты и понимать их взаимное расположение. Видеопонимание также на высоте: 87,5% в VideoMME с субтитрами и 86,7% в MLVU подтверждают, что модель способна анализировать динамические сцены не хуже, а иногда и лучше специализированных видеомоделей.
Поддержка 201 языка делает развертывание модели более доступным с учетом культурных и региональных особенностей. В многоязычных тестах модель показывает 88,5% в MMMLU, 59,1% в сложном бенчмарке NOVA-63, охватывающем редкие языки, и 88,2% в MAXIFE — тесте на понимание инструкций на различных языках. Результаты 89,8% в Global PIQA и 78,9% в WMT24++ подтверждают, что качество работы не падает при переходе на другие языки, что критически важно для международных продуктов.
ИИ-производительность топовой модели Alibaba Qwen3.5. Источник: .
Выводы
Релиз Qwen3.5 от Alibaba выводит всю индустрию открытых мультимодальных ИИ-моделей на принципиально новый уровень. Благодаря единой визуально-языковой архитектуре с гибридными управляемыми дельта-сетями и масштабируемого RL, Qwen3.5 обеспечивает высочайшую ИИ-производительность в любых практических сценариях, превосходя даже проприетарные ИИ-модели, вроде GPT-5.2, Claude Opus 4.5 и Gemini 3 Pro. Открытые веса модели уже лежат на и доступны по лицензии Apache 2.0. Локальное развертывание также поддерживается через ИИ-движки vLLM, SGLang и Hugging Face Transformers.
Сейчас тут ничего нет. Ваш комментарий может стать первым.
Скидка 1 500 ₽ или бесплатная доставка - уже сейчас 🔥
Мы ценим обратную связь от клиентов. При оформлении заказа вы можете сообщить о своём намерении поделиться впечатлением о работе ServerFlow после получения товара.
* - скидка предоставляется при покупке от 30 000 рублей, в ином случае предусмотрена бесплатная доставка до ПВЗ СДЭК.
Продолжная использовать наш сайт, вы даете согласие на использование файлов Cookie, пользовательских данных (IP-адрес, вид операционной системы, тип браузера, сведения о местоположении, источник, откуда пришел на сайт пользователь, с какого сайта или по какой рекламе, какие страницы
открывает и на какие страницы нажимает пользователь) в целях функционирования сайта, проведения статистических исследований и обзоров. Если вы не хотите, чтобы ваши данные обрабатывались, покиньте сайт.
При оформлении заказа в ServerFlow вы можете сообщить о намерении оставить отзыв о нашей работе после получения товара.
Нам важно ваше честное мнение. Оно помогает развивать сервис и даёт другим клиентам представление о нашей работе.
Вы можете оставить отзыв на удобной для вас платформе:
Google Maps
2GIS
Яндекс Карты
Как работает акция
Применяя промокод, вы подтверждаете намерение поделиться впечатлением о работе ServerFlow после получения заказа. Мы применяем бонус уже к текущему заказу в знак благодарности за обратную связь.
Условия акции:
скидка 1 500 ₽ при заказе от 30 000 ₽
или бесплатная доставка* при заказе до 30 000 ₽
* Бесплатная доставка заказа осуществляется до ПВЗ СДЭК.